Join now - be part of our community!

Sony Bravia kdl50w829 best picture settings?

SOLVED
stupc63
New

Sony Bravia kdl50w829 best picture settings?

New to this site so if it has been brought up before then apologies. Can anyone rcommend the best picture settings to get the best out of this TV. I have seen on other sites blogs making recommendations on other tvs but as this tv is new to the market i wondered if there were any opinions out there? Thanks.

2 ACCEPTED SOLUTIONS

Accepted Solutions
Anonymous
Not applicable

Hi there

 

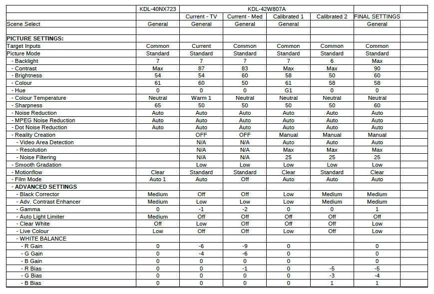
Best Picture Settings - Is a very difficult question to answer.  This is because what is best for one person or situation is different to another.   You could have a brighter or darker room compaired to another person, or that person likes a more vivid picture etc etc etc.

 

My advice is to create a chart or spreadsheet, then list down the settings that they are currently, and then change the settings over time.

 

Below I have attached a screenshot of my spreadsheet (as I cant attach xls files) to this thread as an example - this is what I created for myself for my KDL-42W807A TV

 

Example1.jpg

 

Hope this assists

Cheers

View solution in original post

rosleem38
New

I just finished calibrating my kdl50w829. Here are my settings for day time viewing.

system settings, eco, light sensor off.

 

Cinema 2

backlight, 6

contrast, 86

brightness, 50

colour, 50

hue, 0

colour temp warm 2

sharpness 50

All noise reduction options set to off

reality creation, manual

resolution 7

noise filtering, min

smooth graduation, low

motionflow true cinema

film mode auto

advance settings

black corrector, off

adv. contrast enhancer, off

gamma, -1

auto light limiter, off

clear white, off

live colour, off

white balance, R GAIN -4, G GAIN -14, B GAIN 0, R BIAS 0, G BIAS 0, B BIAS -2.

detail enhancer, off

edge enhancer, off

skin naturaliser, off

My night settings are the same but backlight is on 3. Bluray movies look stunning and very filmic.

View solution in original post

5 REPLIES 5
Anonymous
Not applicable

Hi there

 

Best Picture Settings - Is a very difficult question to answer.  This is because what is best for one person or situation is different to another.   You could have a brighter or darker room compaired to another person, or that person likes a more vivid picture etc etc etc.

 

My advice is to create a chart or spreadsheet, then list down the settings that they are currently, and then change the settings over time.

 

Below I have attached a screenshot of my spreadsheet (as I cant attach xls files) to this thread as an example - this is what I created for myself for my KDL-42W807A TV

 

Example1.jpg

 

Hope this assists

Cheers

rosleem38
New

I just finished calibrating my kdl50w829. Here are my settings for day time viewing.

system settings, eco, light sensor off.

 

Cinema 2

backlight, 6

contrast, 86

brightness, 50

colour, 50

hue, 0

colour temp warm 2

sharpness 50

All noise reduction options set to off

reality creation, manual

resolution 7

noise filtering, min

smooth graduation, low

motionflow true cinema

film mode auto

advance settings

black corrector, off

adv. contrast enhancer, off

gamma, -1

auto light limiter, off

clear white, off

live colour, off

white balance, R GAIN -4, G GAIN -14, B GAIN 0, R BIAS 0, G BIAS 0, B BIAS -2.

detail enhancer, off

edge enhancer, off

skin naturaliser, off

My night settings are the same but backlight is on 3. Bluray movies look stunning and very filmic.

stupc63
New

Thanks for the replies guys.........gonna have a play.....
profile.country.GB.title
CaptainLambino
Member

Hi Guys,

 

Not sure if anyone will see this. I am new to the site and have no idea how to post my query as a new post - thre does not appear to be an option to post?!

 

My question is when watching Blu Ray movies on my KDL48W585B - I sometimes get this grainy effect especially on darker scenes, I also feel like the colour is pale compared to how the image appeared on the shop floor when I bought the TV. I love my Sony Bravia but feel very frustrated as however much I fiddle with the settings - due to my lack of knowledge I feel like I cannot enjoy the TV the way it is supposed to be

 

Any help would be fantastic

 

Cheers

Anonymous
Not applicable

Hi @CaptainLambino 

 

I have answered your question in your original thread.

 

http://community.sony.co.uk/t5/televisions/query-on-my-kdl-48w585b/m-p/1874414

 

Sometimes it does take someone time to answer, because the community forums is not run by Sony themselves, but by everyone (ie Community). What im trying to say is, you dont need to write the same things over multiple threads.  :slight_smile: 

 

Cheers